Научные связи России в 1990—2024 годах: на примере Балтийского и Индийского регионов
Ключевые слова
Аннотация
Статья посвящена оценке трансформации научных связей России на восточном и западном направлениях. Актуальность работы обусловлена активным продвижением в практике идеи международного научного сотрудничества как необходимого условия развития современной науки. Цель исследования — оценить реструктуризацию международных научных связей России за последние 30 лет на макрорегиональном уровне. Методика исследования базируется на подходе пространственной наукометрии, позволяющей проводить географический анализ науки с использованием массива больших библиометрических данных. Исследование выполнено на материалах Балтийского и Индийского регионов и охватило период с 1990 по 2024 г. Источник данных — международная реферативная база Scopus. Полученные результаты позволили сделать выводы о месте исследуемых макрорегионов в мире по уровню приращения научного знания, вкладу стран в обеспечение макрорегиональной динамики публикационной активности и степени интеграции России в научное пространство Балтийского и Индийского регионов. Показано, что Балтийский регион занимает устойчивое положение в мире по количеству научных публикаций, демонстрируя небольшой, но стабильный ежегодный прирост и высокие значения научной продуктивности. Индийский регион — динамичнее в научном плане, однако имеет более высокую степень централизации научной активности и меньшую научную продуктивность. Россия вовлечена в научное сотрудничество с обоими макрорегионами. Однако если со странами Балтийского региона наблюдается его стагнация, усилившаяся после 2022 г., то со странами Индийского региона, напротив, отмечается рост совместной публикационной активности. Подчеркивается необходимость дальнейших качественных исследований по данной тематике для более глубокого понимания изменений в мировой географии науки и места России.
Введение и постановка вопроса
Разворот на Восток, сопровождающийся интенсивной переориентацией на более широкое взаимодействие с развивающимися странами, породил дискуссию о его причинах и последствиях для России [1], [2]. Одни исследователи утверждают, что изменение структуры международных связей в пользу быстрорастущих стран Азии, Южной Америки и Африки является естественным процессом, отражающим длинный тренд на изменение глобального геополитического, экономического и научно-технологического влияния [3]. России предлагается не только учитывать фактически сложившееся распределение сил и растущую мощь развивающихся стран, но и закрепить свою роль в их научно-технологической повестке. Альтернативный подход фокусируется на вынужденном характере происходящей реструктуризации связей [4], [5]. Ключевой аргумент заключается в том, что возможность взаимодействия с Китаем, Индией, Бразилией, Ираном и другими странами Глобального Юга существовала всегда, но Россия, как и большинство стран Глобального Севера, продолжала придерживаться сложившейся модели кооперации, выстроенной вокруг традиционных западных центров влияния — США, Великобритании, Германии, Франции.
Сокращающийся разрыв между Севером и Югом, снижение гегемонии англосаксонского мира, и формирование нового миропорядка с несколькими полюсами роста — все это свидетельствует об опасности искусственного удержания текущей колеи развития. В свою очередь, процесс смены колеи крайне затруднителен и болезненно чувствителен из-за эффекта резистентности крепко укоренившейся системы [6]. В связи с этим концепция о «новых траекториях развития», популярная еще в 1980-е гг. [7], обрела современное прочтение не только в России, но и в других странах. Задача для большинства правительств в построении актуальной стратегии национального развития заключается не столько в способности вернуться к исходному состоянию после преодоления «кризиса системы» (то есть обрести устойчивость), сколько адаптироваться под текущие и формирующиеся в среднесрочной и долгосрочной перспективе обстоятельства, обеспечив эффективную трансформацию системы в новой архитектуре связей (иначе резильентность).
Цель данного исследования — определить трансформационные изменения, происходящие в системе научных связей России. Особый акцент сделан на оценке взаимодействий России со странами двух макрорегионов — Балтийского, традиционно выступавшего регионом сотрудничества для России и центром интересов благодаря присутствию мировых лидеров научно-технологических и инновационных рейтингов (например, European Innovation Scoreboard1), и Индийского — перспективного направления сотрудничества, ядром которого выступает стратегический партнер России и самая крупная по численности населения страна мира — Индия. Несмотря на то что российско-индийские партнерские отношения имеют длительную историю и оцениваются как устойчивые («эта связь настолько сильна, что разорвать ее непросто» [8, с. 70]), события последних лет актуализировали кооперационную повестку между странами. Всего за год (с 2021 по 2022 г.) Россия поднялась с 25-го на 7-е место по объему торговли с Индией, нарастив товарооборот до 18 млрд долл. [9]. В связи с этим выдвигается предположение, что развитие двусторонних экономических отношений формирует потенциал и для других направлений российско-индийского сотрудничества, в том числе в сфере науки.
В следующем разделе статьи будет представлен обзор исследований, регистрирующих современные изменения в распределении научной активности в мире. В методическом разделе описан протокол данного исследования при реализации подхода пространственной наукометрии к анализу территориальных моделей международного научного сотрудничества. Работа проведена на материалах двух макрорегионов — Балтийского и Индийского. Полученные результаты структурированы в разрезе трех подразделов: первый посвящен месту Балтийского и Индийского регионов в мире как важных научных центров и изменению их влияния на процесс количественного приращения нового знания; второй представляет данные о вкладе отдельных стран в обеспечение макрорегиональной динамики публикационной активности; третий презентует результаты оценки интеграции России в научное сотрудничество со странами Балтийского и Индийского регионов. В завершении статьи представлены основные выводы о роли Запада и Востока в формировании международных научных связей России и даны рекомендации по возможным направлениям дальнейших исследований.
Теоретическая основа исследования
Эффективное функционирование национальной инновационной системы страны предполагает ряд обязательных условий, которые можно объединить в три группы:
— развитые научно-образовательный и промышленный сектора (в том числе наукоемкие и капиталоемкие предприятия с высокой добавленной стоимостью) и система специализированных государственных институтов;
— поддерживающая институциональная среда, способствующая укреплению многосторонних связей между академическими, корпоративными, государственными и некоммерческими структурами;
— разветвленная сеть международного сотрудничества, реализуемого на взаимовыгодных условиях и обеспечивающая диффузию знаний и инноваций.
Последний пункт в контексте данного исследования обладает наибольшей важностью. Результаты современных исследований подтверждают тезис об усложнении научно-исследовательской деятельности, заключающийся в том, что ресурсов одной страны для инноваций уже недостаточно [10], [11], а сам инновационный процесс характеризуется свойствами нелинейности и глокальности (англ. glo-cal) [12]. Наличие точек соединения внутристрановых систем разного уровня с зарубежными научно-технологическими и инновационными кластерами (то есть так называемые сети «трубопроводов знаний» [13]) играет критическую роль в национальном инновационном развитии.
Несмотря на кажущееся снижение территориального детерминизма научного знания (в том числе из-за появления цифрового доступа к научным результатам), компетенции по его воспроизводству, наращиванию и применению по-прежнему неотделимы от конкретных исследовательских организаций и коллективов [14]. США и западноевропейские страны имеют наиболее сложившиеся научно-технические системы, что долгое время позволяло им занимать доминирующие позиции в качестве мировых научных центров по производству нового знания [15], [16]. При этом глобальный научный ландшафт не статичен: баланс сил постепенно меняется, а научно-исследовательская активность смещается в сторону развивающихся стран. С конца ХХ в. все чаще обсуждается идея разворота мировой науки на Восток [17]. В первую очередь это отмечается для сфер космоса, авиации, телекоммуникаций, ядерной энергетики и высокоскоростного транспорта [18].
«Гонка за новым знанием» [19], поддерживаемая переходом все большего количества стран к модели экономики, основанной на знаниях (англ. knowledge economy или knowledge-based economy [20]), определила необходимость укрепления развивающимися странами своего научно-технологического потенциала. Первый сдвиг связан с бурным ростом Японии, далее в конкурентную борьбу включились Тайвань, Гонконг, Сингапур и Южная Корея — новые индустриальные страны Восточной Азии [21]. Однако уже сейчас Сингапур и Гонконг начали терять свои конкурентные преимущества из-за роста международной конкуренции в сфере научных исследований [15]. Китай в 2012 г. обошел Южную Корею и Тайвань по количеству научных публикаций [21], а в настоящее время превосходит США по числу научных исследований.
С 2015 г. более четверти общемирового объема научных публикаций приходится на страны БРИКС (Бразилия, Россия, Индия, Китай и ЮАР), которые формируют альтернативные Западу центры «производства новых знаний, современных технологий и инновационного развития» [22, р. 1116]. Рост восточноазиатских инновационных систем сократил общемировую долю США, Европейского союза и Японии в генерации научных публикаций и патентов [23]. Активизация научно-исследовательской деятельности Китая, Индии, Южной Кореи «значительно нарушила баланс мировых публикаций» [24, р. 121]. Если в 2015 г. восточный вектор только «набирал силу», а «Индия еще не проснулась» [24], то спустя 10 лет картина кардинально изменилась. С начала XXI в. поляризация научной активности снизилась, в то же время наметилась тенденция к ее распределению вследствие наращивания развивающимися странами своего научно-технологического потенциала [25].
Активизировался интерес к Глобальному Югу в качестве научного партнера как со стороны самих этих стран, так и со стороны западных государств [26]. Однако сложность построения таких связей обусловлена не только отсутствием территориальной близости между Глобальным Севером и Югом, но и их социальной и когнитивной «удаленностью» [27]. Россия долгое время направляла усилия на интеграцию именно в западное научное сообщество, включая участие в реализации совместных мегапроектов [28], широкую представленность в ведущих международных реферативных базах цитирования, вхождение в глобальные рейтинги вузов (QS, THE, ARWU) и др. Однако в настоящее время вследствие усиления геополитической напряженности все больше становится потребность в расширении научных связей и их реструктуризации в соответствии с новой географией производства научного знания.
Данные и методы исследования
География исследования
Пространственная наукометрическая оценка международного научного сотрудничества России на западном (европейском) и восточном (азиатском) направлениях выполнена на примере двух культурно-исторических макрорегионов — Балтийского и Индийского (рис. 1). В составе Балтийского региона помимо России учтено 8 стран: Германия, Польша, Дания, Швеция, Финляндия, Литва, Латвия, Эстония [29]. В составе Индийского региона — 5 стран: Индия, Шри-Ланка, Бангладеш, Непал и Бутан2. По данным статистического сервиса Worldometers, на 2024 г. на страны Балтийского региона (без учета РФ) приходится 20,3 % всего населения Европы, а на страны Индийского региона — 35 % всего населения Азии, что делает эти макрорегионы значимыми местами концентрации человеческого и интеллектуального капитала.
Ведущие страны Балтийского региона (Германия, Швеция, Дания, Финляндия) не только имеют одни из лучших показателей научной продуктивности в мире, но также активно интегрированы в международное научно-технологическое сотрудничество [30]. Кроме того, они входят в группу стран — лидеров инноваций [31]. В качестве отличительных факторов их развития следует отметить высокий уровень расходов на исследования и разработки (в том числе относительно ВВП) и значительное число исследователей в эквиваленте полной занятости [32]. Определенный вклад в усиление стран северной и западной части Балтийского региона внес отток научных кадров и высококвалифицированных работников из стран Прибалтики. Около половины эмигрировавших из Литвы, Латвии и Эстонии в начале 2000-х гг. остались в макрорегионе, что позволило им лучше и быстрее интегрироваться в научно-исследовательские и инновационные сети [33]. Сами Прибалтийские страны имеют более скромный научно-технический потенциал в сравнении с другими странами Балтийского региона [31], однако превосходят по его величине, например, ближайшие к ним страны Центральной Азии [34].
Системообразующим элементом Индийского региона выступает Индия. По данным Всемирного банка3, современная Индия занимает 5-е место в мире по объему ВВП, уступая лишь США, Китаю, Германии и Японии. В рейтинге лидеров научных исследований издательства Nature4 страна обогнала Австралию, Италию и Швейцарию, заняв 9-е место в общем зачете и 8-е место в области естественных наук. Согласно Глобальному индексу инноваций5 Индия находится на 39-м месте из 133 анализируемых стран, в том числе на 1-м месте — в Центральной и Южной Азии. Будучи одним из наиболее влиятельных азиатских государств, Индия активно распространяет свой интерес на соседние страны. Еще в 1979 г. страна провозгласила доктрину господства в Южно-Азиатском макрорегионе [35], которая впоследствии трансформировалась во внешнеполитическую концепцию «Смотреть на Восток» с более широким географическим охватом [36]. Институциональной основой для взаимодействия в рамках рассматриваемого макрорегиона выступила созданная в 1985 г. Ассоциация регионального сотрудничества стран Южной Азии (СААРК). Ее основной целью была поддержка процесса социально-экономического развития территориальных образований исторической Индии [36], в том числе создание зоны свободной торговли [37] и формирование единого образовательного пространства [38]. В 1990-е гг. наметилась активизация трансграничного сотрудничества между странами макрорегиона с формированием «зоны взаимного тяготения» в первую очередь усилиями Индии, Бангладеш и Шри-Ланки [35]. В 2012 г. в составе МИД Индии учреждено специальное Управление по делам развития и партнерства, в функции которого вошло грантовое финансирование, инвестирование и курирование проектов в приграничных для Индии странах [35]. Таким образом, Индийский регион, как и Балтийский, имеет в основе своего образования не только культурно-исторический базис, но и институциональный, детерминируемый актуальной внешнеполитической повесткой.
Выбор Балтийского и Индийского макрорегионов для цели исследования обусловлен рядом причин.
Во-первых, наличием территориальной и культурно-исторической близости у рассматриваемых стран, что способствует созданию более устойчивых макрорегиональных научно-инновационных экосистем с их участием. Социальная и когнитивная общность исследователей одинакова важна для обмена знаниями и укрепления сетевого взаимодействия в науке [27] наряду с географической и инфраструктурной [39]. Россия до 2022 г. была активно интегрирована в Балтийский регион, в том числе для решения проблем вокруг Балтийского моря. В Индийский регион Россия не входит. Однако, как отмечает Т. И. Ерохина [40], советские культурные коды крайне крепко связывают Россию и Индию на современном этапе, что компенсирует территориальную удаленность и способствует легкости формирования межличностных контактов. В связи с этим видится интересным и полезным сравнить два этих макрорегиона с позиции развития связей с Россией на примере научной сферы.
Во-вторых, в структуре научных систем обоих макрорегионов есть драйверы — страны — лидеры мировой науки. Доминирующее положение в Балтийском регионе занимает Германия (5-е место в мире в 2023 г. по количеству публикаций), в Индийском регионе — Индия (3-е место в мире в 2023 г. по количеству публикаций). Таким образом, эти макрорегионы являются хорошими примерами для оценки дихотомии Запад — Восток в системе научных связей России на уровне отдельных ведущих мировых научных центров с отличной динамикой развития.
В-третьих, Балтийский и Индийский макрорегионы представляют западное и восточное направления сотрудничества. Первое — Балтийское — олицетворяет традиционных европейских партнеров, которые с 2014 г. усиливают санкционное давление на Россию, рассматривая ее в качестве одной из ключевых угроз национальной безопасности. Второе — Индийское, представляющее макрорегион с быстрорастущими густонаселенными странами, взаимодействие с которыми реализуется на взаимовыгодных и равноправных условиях с долгосрочной стратегией партнерских отношений.
Сбор и анализ данных
Изучение научного ландшафта и процессов международного научно-технологического сотрудничества построено на основе пространственной наукометрической оценки показателей научно-исследовательской деятельности. В расчетах использованы временные ряды геокодированных данных о количестве научных публикаций в разрезе макрорегионов и отдельных стран. Набор данных охватил период с 1990 по ноябрь 2024 г.
Информационной базой исследования выступила международная реферативная база данных Scopus. Выбор данной базы обусловлен рядом ее преимуществ для проведения международных сопоставлений. Во-первых, база обладает необходимым функционалом, позволяющим проводить комплексные поисковые запросы в различных территориальных разрезах. Наличие верифицированных профилей исследователей и организаций позволяет соотносить данные об аффилиации исследований с высокой точностью. Во-вторых, наличие удаленного доступа к базе через использование интерфейса программирования приложения API6, позволяющего подключать ресурс к собственной аналитической программе для сбора и выгрузки необходимых библиометрических данных. Для использования API в среде разработки Visual Studio Code (VSCode) был написан соответствующий программный код на языке Python. В-третьих, эта реферативная база имеет широкий географический охват публикаций, в том числе развивающихся стран Индийского региона. В-четвертых, база является мультидисциплинарной, одинаково хорошо индексируя результаты научных исследований по всем областям знания. В-пятых, в отличие от открытых баз данных Scopus имеет четкий список индексируемых изданий, которые не только проходят оценку на этапе отбора, но и подвергаются мониторингу качества в процессе индексации.
Для корректного сбора данных был сформировал список исследуемых стран. Варианты написания их названий соотнесены с перечнем из базы Scopus. По макрорегионам составлены сложные поисковые запросы, чтобы избежать дублирования публикаций при суммировании данных по странам. Для учета коллабораций учитывалась как доля участия страны / макрорегиона в совокупных публикациях России, так и доля России в публикациях анализируемой страны / макрорегиона.
Строка поискового запроса в базе данных при оценке сотрудничества России со странами Балтийского региона выглядит следующим образом:
AFFILCOUNTRY (“” Germany” OR “Denmark” OR “Latvia” OR “Lithuania” OR “Sweden” OR “Finland” OR “Estonia” OR “Poland”) AND AFFILCOUNTRY(Russian Federation)
А со странами Индийского региона:
AFFILCOUNTRY(“Bangladesh” OR “Bhutan” OR “India” OR “Nepal” OR “Sri Lanka”) AND AFFILCOUNTRY(Russian Federation)
Поиск не был ограничен по типу документов, что позволило проследить динамику разнообразной научной активности в длительном временном периоде.
Для оценки внутри макрорегионов пространственной автокорреляции научной продуктивности использован инструмент пространственной автокорреляции (индекс Морана), который рассчитан с использованием программного обеспечения GeoDa. Ввиду малого количества объектов веса были распределены. исходя из расстояния между центроидами государств. Взвешенные данные обработаны программным алгоритмом Unvariate Moran I. Индекс варьируется от − 1 до 1, где значения, близкие к нулю, — это случайное расположение наблюдаемых явлений по территории.
Результаты исследования
Место Балтийского и Индийского регионов на научной карте мира
На современном этапе Балтийский и Индийский культурно-исторические регионы являются значимыми центрами концентрации научной активности как в мировом масштабе, так и в своих географических макрорегионах — Европе и Азии. Тем не менее анализ публикационных данных в течение более чем тридцатилетнего периода продемонстрировал наличие существенных межрегиональных различий в динамике процесса количественного приращения научного знания. Рисунок 2, г отражает изменение вклада рассматриваемых макрорегионов в мировой публикационный ландшафт. Если средняя доля Балтийского региона в общемировом количестве научных публикаций в 1990—2023 гг. оказалась достаточно стабильна и составляла 11,9 % (изменяясь в диапазоне от 9,8 до 13,4 %), то Индийский регион существенно улучшил свою «научную видимость» — с 1,6 % в 1990 г. до 8,6 % в 2024 г. (по состоянию на ноябрь).
Примечание: в показателях, рассчитанных для Балтийского региона, учтены данные по РФ.
При спуске на уровень географических макрорегионов разность в динамике прироста научного знания, выраженного в публикациях, между Балтийским и Индийским регионами сохранилась. Величина вклада Балтийского региона в совокупный объем публикаций Европы оставалась достаточно стабильной на протяжении всего рассматриваемого периода и в общем выражении составила 35,6 %. Вклад Индийского региона в пул научных публикаций Азии скромнее — 13,2 %, однако макрорегиону после проседания в начале 2000-х гг. до 9,0 % удалось увеличить свою долю к 2024 г. до 16,1 % от всех публикаций Азии (рис. 2, в).
В 1990–2000 гг. между Балтийским и Индийским регионами наблюдалось существенное различие в количестве генерируемых научных публикаций с шестикратным отставанием последнего (рис. 2, а). В 1990 г. количественный вклад Балтийского региона в прирост научного знания составлял 90,4 тыс. публикаций, а Индийского региона — 15,2 тыс. публикаций. Наибольший разрыв зафиксирован в 1995 г. — в 7,1 раза, что стало следствием разнонаправленной динамики: снижения публикационной активности в Индийском регионе и роста — в Балтийском регионе. С начала 2000-х гг. наметилась тенденция к сближению макрорегионов по ежегодному количеству публикаций, в том числе вследствие повышения темпов публикационной активности в Индийском регионе (рис. 2, б). В 2023 г. рассматриваемые макрорегионы приблизились по своему годовому вкладу в общемировой объем публикаций: Балтийский — 401,9 тыс. ед. (без РФ — 365,7 тыс. ед.) и Индийский — 302,4 тыс. ед. (рис. 2, а). Хотя данные за 2024 г. неполные, видно, что Индийский регион продолжил наращивать публикационную активность и сокращать разрыв с Балтийским регионом (до 1,3 раза, а без учета РФ — до 1,09 раза).
Таким образом, в первом приближении оценка дихотомии Запад — Восток в приросте публикационной активности на примере рассматриваемых макрорегионов демонстрирует постепенную реструктуризацию территориальной организации приращения научного знания в мире в сторону укрепления восточного вектора. В свою очередь, это создает объективные условия для роста интереса к расширению научного сотрудничества России с восточными странами как активно растущими мировыми научными центрами. Если тридцать лет назад азиатское направление международного научного сотрудничества для России не было столь привлекательным из-за скромного вклада этих стран (в том числе в рамках Индийского региона) в мировой количественный прирост научного знания, то на текущий момент произошли структурные сдвиги в мировой географии знания: как в глобальном (по количеству публикаций Китай в 2020 г. сместил США, а Индия — в 2019 г. Германию и в 2022 г. — Великобританию), так и в макрорегиональном (в 2024 г. Индийский регион практически догнал по количеству публикаций Балтийский регион без учета России) измерениях.
Роль отдельных стран в обеспечении макрорегиональной динамики прироста научных публикаций
Для рассматриваемых макрорегионов в целях оценки пространственной автокорреляции показателей публикационной продуктивности в расчете на 100 тыс. чел. населения были рассчитаны значения индекса Морана в динамике (рис. 3). В большинстве временных срезов получены отрицательные значения, что может указывать на дисперсное распределение стран внутри обоих макрорегионов: как Балтийского, так и — после 2010 г. — Индийского. При этом в соответствии с построенными пространственными диаграммами рассеяния Морана межстрановое неравенство по уровню публикационной продуктивности внутри Индийского макрорегиона в 1990—2024 гг. нарастает, в то время как для Балтийского региона оно остается практически неизменным.
Ниже представлен анализ вклада отдельных стран в макрорегиональную динамику публикационной активности и продуктивности (рис. 4—6). В Балтийском регионе основным локомотивом прироста абсолютного количества научных публикаций является Германия. Страна занимает четвертую позицию в мире по общему числу научных публикаций за 1990—2024 гг. (4,66 млн ед., или 6,4 % от мирового значения), уступая лишь США, Китаю и Великобритании. В Индийском макрорегионе таким локомотивом выступает Индия, которая находится на 6-м месте в мировом рейтинге по совокупному количеству публикаций в рассматриваемом периоде — 3,38 млн ед., или 4,6 %. Несмотря на то что и Германия, и Индия демонстрируют ежегодный прирост количества публикаций, темпы этого прироста неодинаковы. Индия из года в год более стремительно наращивает научный потенциал, что позволило ей в 2019 г. обогнать Германию по количеству публикаций на 4,2 %. Впоследствии в 2023 г. этот отрыв увеличился до 53 %. Таким образом, в 2023 г. Индия вошла в топ-3 стран по количеству публикаций, а Германия заняла лишь 5-е место.
Существенный интерес представляет география прироста научного знания внутри исследуемых макрорегионов. Для Балтийского региона в меньшей степени, чем для Индийского, характера контрастность в отношении распределения количества публикаций между странами (рис. 5, 6). Если на Германию в разные годы приходилось от 43 до 60 % всех публикаций макрорегиона при доле населения в 28 %, то на Индию — от 93 до 97 % при концентрации 86 % жителей макрорегиона. При этом для обоих стран в рассматриваемом периоде характерно постепенное сокращение доли в общемакрорегиональном количестве публикаций на фоне многократного роста научной продуктивности в расчете на постоянное население (для Германии — в 3 раза, для Индии — в 11 раз).
Примечание: размер пунсона отображает долю страны по количеству научных публикаций в макрорегионе, %.
Примечание: размер пунсона отображает долю страны по количеству научных публикаций в макрорегионе, %.
Вторым крупным научным центром в Балтийском регионе и 12-м среди всех стран является Россия, доля которой в общем количестве публикаций по миру в 2024 г. составила 2 %, по макрорегиону — 17,4 %. В сравнении с другими балтийскими странами Россия имеет скромный уровень публикационной продуктивности — 48,3 публикации на 100 тыс. чел. В 2024 г. — это последний результат среди стран Балтийского региона, однако лучший в сравнении со странами Индийского региона, в том числе со стратегическим партнером Индией, имеющей 19,4 публикации на 100 тыс. чел. Следует отметить, что Россия после запуска государственной программы поддержки крупнейших российских вузов — Проекта «5-100» — в 2012 г. стала активно наращивать темпы международной публикационной активности (рис. 4). Однако с 2021 г. отмечается обратная тенденция, обусловленная изменением геополитической обстановки вокруг России и разрывом прежних научных связей со странами Запада, в том числе входящими в Балтийский регион.
Отдельно следует выделить Польшу, которая за тридцать лет существенно нарастила свой научный вес в макрорегионе. В настоящее время на нее приходится до 12 % всех публикаций Балтийского региона (а в 1990 г. — лишь 7,3 %). В макрорегиональном контексте ее можно рассматривать в качестве третьего научного центра, аккумулирующего значительный человеческий и научный потенциал. Однако величина научной продуктивности Польши, несмотря на положительную динамику, сравнительно невысокая — 127 публикаций на 100 тыс. чел. Это сопоставимо, например, с Латвией, которая значительно уступает Польше по своим ресурсным показателям.
Остальные страны Балтийского региона могут быть разделены на две группы по количественному вкладу в генерацию научного знания. Первая группа включает Скандинавские страны — Финляндию, Швецию и Данию, имеющие традиционно высокий уровень научной продуктивности (выше 400 публикаций на 100 тыс. чел.) при средней доле в общем количестве публикаций — около 8 % и доле в численности населения от 2 до 3 %. В период 2000—2010 гг. на 1-е место по научной продуктивности переместилась Дания с 525 публикациями на 100 тыс. жителей, обогнав прежнего лидера — Швецию. При небольшом размере этих стран по постоянной численности населения благодаря высоким значениям научной продуктивности им удается сохранять свою научную видимость не только в макрорегионе, но и в мире (в 2023 г. Швеция занимало 22-е место, Дания — 29-е, Финляндия — 41-е по абсолютному количеству публикаций).
Вторая группа включает страны Прибалтики с более низкими значениями научной продуктивности (от 131 до 276 публикаций на 100 тыс. чел. в 2024 г.) на фоне совокупной доли в численности населения Балтийского региона около 2 % и невысоких показателей по количеству научных публикаций (около 1 %). Прибалтику можно отнести к периферии научного пространства Балтийского региона. Однако между этими странами в 1990—2024 гг. усилилось неравенство по публикационным показателям с постепенным отрывом Эстонии, которая по своей научной продуктивности уже обогнала Германию и Польшу.
В Индийском регионе ядром научной системы, как отмечалось выше, выступает Индия. Остальные четыре страны находятся в позиции отстающих. Их доля в общем количестве публикаций мала: Бангладеш — 4,3 %, Непал и Шри-Ланка — по 1,1 %, Бутан — 0,1 %. В настоящее время по абсолютному ежегодному количеству публикаций Непал и Шри-Ланка сопоставимы со странами Прибалтики, а Бангладеш превышает их в среднем в 3 раза. Однако уровень научной продуктивности в странах Индийского региона остается низким: подавляющее большинство населения по-прежнему не вовлечено в процесс генерации научного знания.
Восточный и западный вектор научного сотрудничества России
За 1990—2024 гг. Россия существенно увеличила интенсивность международного научного сотрудничества, результатом которого становились научные публикации. Пик пришелся на 2021 г., когда 30,5 тыс. российских публикаций Scopus были подготовлены в международной коллаборации. В последние 10 лет в среднем около 22,2 % (или 232,6 тыс. ед.) публикаций, аффилированных в Скопус с авторами из России, — результат сотрудничества с иностранными учеными. Страны Балтийского и Индийского регионов выступали партнерами России в научных исследованиях на протяжении всего рассматриваемого периода, однако интенсивность этого сотрудничества была неодинакова в разные годы (рис. 7).
Примечание: *в расчетах по Балтийскому региону Россия не учитывалась для избежания двойного счета.
Всего в 1990—2024 гг. у России было 151,9 тыс. научных публикаций со странами Балтийского и 20,2 тыс. — со странами Индийского регионов. Ключевой балтийский партнер России в сфере науки — Германия с долей совместных публикаций 68,7 % (от общего количества публикаций РФ и стран Балтийского региона) (рис. 7). На 2-м месте по интенсивности публикационной активности России на балтийском направлении находится Польша (17,9 % публикаций), на 3-м — Швеция (14,7 %) и Финляндия (12,9 %). Дания и страны Прибалтики в наименьшей степени участвовали в международных научных коллаборациях с Россией, результатом которых становились научные публикации. Индия — ключевой партнер России в Индийском регионе, который задает публикационную динамику. В 1990–2024 гг. на Индию пришлось 96,6 % всех публикаций стран Индийского региона с Россией, при этом 75 % из них было издано в последнее десятилетие. Доля других стран в макрорегионе мала: 5,2 % — Шри-Ланка, 4,1 % — Бангладеш, 2,0 % — Непал, 0,2 % — Бутан.
Таким образом, в обоих рассматриваемых макрорегионах у России было по одному ключевому партнеру, публикационное сотрудничество с которым задавало общую тенденцию. В связи в этим динамика публикационной активности в Балтийском и Индийском регионах после 2022 г. в значительной мере стала следствием трендов в международных коллаборациях России с Германией и Индией. Так, в 2023 г. относительно 2021 г. количество публикаций России со странами Балтийского региона уменьшилось на 49 % (в том числе с Германией — на 47 %), а со странами Индийского региона сохранилось на прежнем уровне (в том числе с Индией, по которой отклонение составило −0,2 %).
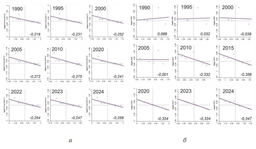
Рисунок 8 презентует изменение доли России и стран Балтийского, Индийского регионов в структуре публикационного портфеля друг друга.
Примечание: *в расчетах по Балтийскому региону Россия не учитывалась для избежания двойного счета.
В первую очередь следует отметить, что публикации с Россией занимают малую часть в общем количестве публикаций стран как Балтийского, так и Индийского регионов — менее 0,1 %. Это свидетельствует о том, что Россия не является для этих стран основным партнером в научной сфере. Расчет аналогичного показателя, отражающего вклад стран изучаемых макрорегионов в общее количество российских публикаций, показывает, во-первых, их большую значимость для России, а во-вторых, пока еще сохраняющееся превосходство балтийского (западного) направления публикационного сотрудничества над индийским (восточным). В динамике с 2008 г. доля Балтийского региона в публикациях России постепенно сокращается, в то время как научное сотрудничество на индийском направлении в последние годы (2021—2024) активизируется. В этой связи говорить о сворачивании международных научных коллабораций России на западном направлении лишь в последние годы (после 2022 г.) вследствие усиления геополитической напряженности не будет в полной мере справедливым, данный процесс начался гораздо раньше. В то же время в последние годы произошла интенсификация интереса России к восточному направлению сотрудничества, что получило отражение в расширении доли публикаций с этими странами (на примере Индийского региона — с 1 до 3 %).
Выводы
Инструменты пространственного наукометрического анализа — хороший способ для выявления и оценки макротрендов в трансформации мирового научного ландшафта, поскольку они позволяют оперировать большими массивами агрегированных библиометрических данных в территориально очерченных границах. В рамках данной работы на примере двух макрорегионов (Балтийского и Индийского) рассматривалось изменение современной географии производства научного знания и оценивалось место России в данном процессе.
На основе анализа данных о научной активности и научной продуктивности было показано, что выбранные макрорегионы различны по территориальному размещению науки и своему положению на мировой научной карте. Балтийский регион, занимающий устойчивое по своему вкладу в производство нового знания положение в Европе и мире и включающий инновационно развитые страны, характеризуется более равномерным в сравнении с Индийским регионом размещением научной активности и снижающейся ролью Германии как главного научного центра в пользу распределенной структуры из нескольких научных центров и динамично растущей периферии в лице Прибалтики.
Индийский регион менее сбалансирован. Ему свойственны более сильные диспропорции в распределении научной активности в сторону доминирования одной страны — Индии как единственного научного центра, объединяющего вокруг себя периферийные в научном плане страны. Во многом подобный патернализм Индии в отношении соседних стран является результатом их совместного исторического пути и отражением внешнеполитического курса индийского государства во второй половине ХХ в.
Разность между макрорегионами в структуре размещения публикационной активности нашла проявление в динамике. Вследствие ежегодного снижения доли Германии по количеству публикаций место Балтийского региона на научной карте Европы и мира все сильнее зависит от темпов развития научных систем сразу нескольких стран (даже без учета России — это Польша и Скандинавские страны). Положение Индийского региона и его научная видимость в полной мере определяются динамикой развития Индии.
В данном контексте ежегодный вклад Балтийского региона в количественный прирост научного знания можно определить как стабильно растущий, однако темпы этого роста ниже, чем у Индийского региона. Большинство европейских стран, входящих в состав макрорегиона, имеют высокий уровень научной продуктивности, что позволяет им даже при скромных размерах по численности населения демонстрировать конкурентный уровень публикационной активности. При этом очевидно, что уровень научной продуктивности для каждой страны имеет конечные значения, выше которых он подниматься уже не будет вследствие ограничений развития самих научных систем. В среднесрочной перспективе для развитых стран Балтийского региона можно ожидать замедление общего роста научной активности при сохранении высокого уровня научной продуктивности.
Индийский регион имеет догоняющий тип развития с более высокими темпами прироста количества публикаций в год. Полученные результаты свидетельствуют об изменении территориальной структуры прироста научного знания в мире, где Индийский регион за последние три десятилетия значительно улучшил свои позиции. Данное исследование подтвердило укрепление азиатского вектора приращения научного знания, сопровождающееся ростом роли восточных стран, которые ранее были менее привлекательны для международного научного сотрудничества.
Россия исторически развивает научное сотрудничество как с Балтийским, так и с Индийским регионами. При этом если для балтийского вектора научного сотрудничества характерна стагнация, особенно в последнее десятилетие, что получило отражение в ежегодно снижающейся доле совместных с РФ публикаций, то индийский вектор пока не получил должного развития несмотря на декларируемый характер стратегического партнерства России и Индии. Это может быть следствием сложности образования научных связей между учеными обеих стран, обусловленной сильными культурными и языковыми различиями, разностью национальных научных повесток и фрагментарностью институциональной поддержки сотрудничества. Оживление совместной публикационной активности России и стран Индийского макрорегиона произошло лишь в последние годы, что скорее простимулировано геополитическими изменениями, чем естественными процессами трансформации географии научных связей. При этом регистрируемый эмпирически рост влияния Востока в мировых научных исследованиях делает важным со стороны России продолжение усилий по укреплению научных связей со странами Азии. Однако спрогнозировать, насколько долгосрочным будет этот тренд, сложно. Полная замена сети партнерских научных связей России с западными странами на восточные маловероятна. Более целесообразным видится поиск точек соприкосновения на обоих направлениях для поддерживания международных научных контактов как элемента «мягкой силы».
Перспективным направлением исследований выступает изучение более широкого круга макрорегионов для оценки глобальных и региональных тенденций в перераспределении мировых центров приращения научного знания и их связей между собой. Отдельное внимание следует уделить качественным характеристикам международной научно-исследовательской кооперации, включая показатели цитируемости, престижности научных изданий, широты представленности регионов и организаций. Использование только количественных методов анализа в данном исследовании является лимитирующим фактором для интерпретации полученных результатов в контексте выявления специфических характеристик научного сотрудничества России с другими странами, включая отраслевые, региональные и исторические аспекты. Оценку межстрановых научных взаимодействий необходимо расширить за счет включения дополнительных параметров, таких как патентная статистика, академическая мобильность, миграция интеллектуальных ресурсов, наличие институциональной поддержки и др. Интересным направлением исследований видится качественная оценка изменений в географии производства нового знания в зависимости от научной области.
Исследование выполнено при финансовой поддержке гранта РНФ № 23-27-00149 «Евразийский вектор партнерства в зеркале межрегионального сотрудничества России и Индии в сфере науки, технологий и инноваций».
Список литературы
Савченко, А. Е., Зуенко, И. Ю. 2020, Движущие силы российского поворота на Восток, Сравнительная политика, № 1, с. 111—125. EDN: XLYUWZ, https://doi.org/10.24411/2221-3279-2020-10009
Торкунов, А. В., Стрельцов, Д. В., Колдунова, Е. В. 2020, Российский поворот на Восток: достижения, проблемы и перспективы, Полис. Политические исследования, № 5, с. 8—21. EDN: DBKKFU, https://doi.org/110.17976/jpps/2020.05.02
Confraria, H., Godinho, M. M., Wang, L. 2017, Determinants of citation impact: A comparative analysis of the Global South versus the Global North, Research Policy, № 46, p. 265—279, https://doi.org/10.1016/j.respol.2016.11.004
Смородинская, Н. В., Катуков, Д. Д., Малыгин, В. Е. 2023, Проблема экономической устойчивости в условиях санкций: опыт Ирана и риски для России, научный доклад, М., Институт экономики РАН.
Спартак, А. Н., Чеклина, Т. Н. 2023, Торгово-экономическое сотрудничество России со странами Европы до и после начала Специальной Военной Операции, Российский внешнеэкономический вестник, № 2, с. 8—4. EDN: IFNXRE, https://doi.org/10.24412/2072-8042-2023-2-8-46
Hassink, R. 2005, How to unlock regional economies from path dependency? From learning region to learning cluster, European planning studies, vol. 13, № 4, p. 521—535, https://doi.org/10.1080/09654310500107134
Lambooy, J. 1985, Development trajectories of regions, in: Chojnicki, Z. (ed.), Concepts and Methods in Geography, Poznań, Concepts and Methods in Geography.
Капур, Н. 2023, Многовекторность при «неравномерной многополярности»: отношения Индии с Россией в условиях меняющегося миропорядка, Вестник МГИМО-Университета, т. 16, № 2, с. 15—32. EDN: FZJFIF, https://doi.org/10.24833/2071-8160-2023-2-89-15-32
Di, Y., Zhou, Y., Zhang, L., Indraprahasta, G. S., Cao, J. 2022, Spatial pattern and evolution of global innovation network from 2000 to 2019: Global patent dataset perspective, Complexity, 2022, art. 5912696. EDN: KNMLAZ, https://doi.org/10.1155/2022/5912696
Wu, Y., Ding, L., Li, N., Yu, X. 2024, Unveiling the influence of global innovation networks on corporate innovation: evidence from the international semiconductor industry, Scientific Reports, vol. 14, № 1, art. 11007. EDN: KWCVZV, https://doi.org/10.1038/s41598-024-61511-7
Malecki, E. J. 2011, Connecting local entrepreneurial ecosystems to global innovation networks: open innovation, double networks and knowledge integration, International Journal of Entrepreneurship and Innovation Management, vol. 14, № 1, p. 36—59. EDN: WOIDMZ, https://doi.org/10.1504/IJEIM.2011.040821
Livingstone, D. M. 2003, Putting science in its place: Geographies of scientific knowledge, Chicago, University of Chicago Press, https://doi.org/10.7208/chicago/9780226487243.001.0001
Horta, H. 2018, The declining scientific wealth of Hong Kong and Singapore, Scientometrics, № 117, p. 427—447. EDN: YJUCJN, https://doi.org/10.1007/s11192-018-2845-0
Swianiewicz, P., Niedziółka, M. 2023, Geography of knowledge production in European urban studies, Studia Litteraria et Historica, № 12, p. 1—19. EDN: YNLOYZ, https://doi.org/10.11649/slh.2984
Radosevic, S., Yoruk, E. 2014, Are there global shifts in the world science base? Analysing the catching up and falling behind of world regions, Scientometrics, vol. 101, № 3, p. 1897—1924. EDN: VGFYWV, https://doi.org/10.1007/s11192-014-1344-1
Li, Y., Ji, Q., Zhang, D. 2020, Technological catching up and innovation policies in China: What is behind this largely successful story? Technological Forecasting & Social Change, № 153, art. 119918. EDN: QPXEZU, https://doi.org/10.1016/j.techfore.2020.119918
Yigitcanlar, T., Metaxiotis, K., Carrillo, F. J. (eds.). 2012, Building prosperous knowledge cities: Policies, plans and metrics, Cheltenham, Edward Elgar, https://doi.org/10.4337/9780857936042
Choong, K. K., Leung, P. W. 2022, A critical review of the precursors of the knowledge economy and their contemporary research: implications for the computerized new economy, Journal of the Knowledge Economy, vol. 13, № 2, p. 1573—1610. EDN: LXBSHZ, https://doi.org/10.1007/s13132-021-00734-9
Wong, C.-H., Goh, K.-L. 2015, Catch-up models of science and technology: A theorization of the Asian experience from bi-logistic growth trajectories, Technological Forecasting & Social Change, № 95, p. 312—327, https://doi.org/10.1016/j.techfore.2014.02.005
Shashnov, S., Kotsemir, M. 2018, Research landscape of the BRICS countries: Current trends in research output, thematic structures of publications, and the relative influence of partners, Scientometrics, № 117, p. 1115—1155. EDN: VAHKTS, https://doi.org/10.1007/s11192-018-2883-7
Geng, D., Saggi, K. 2015, The nature of innovative activity and the protection of intellectual property in Asia, Asian Economic Policy Review, № 10, p. 71—91, https://doi.org/10.1111/aepr.12084
Zhou, P., Li, J. 2015, Is the word of science moving to the East? What bibliometrics says, in: Archibugi, D., Filippetti, A. (eds.), The Handbook of Global Science, Technology, and Innovation, Malden, MA, John Wiley & Sons, p. 109—123, https://doi.org/10.1002/19781118739044.ch5
Maisonobe, M. 2020, Regional distribution of research: The spatial polarization in question, Handbook Bibliometrics, p. 377—396, https://doi.org/10.1515/9783110646610-036
Muhr, T. 2022, Reclaiming the politics of South-South cooperation, Globalizations, vol. 20, № 3, p. 347—364. EDN: ORFMTU, https://doi.org/10.1080/14747731.2022.2082132
Frenken, K. 2020, Geography of scientific knowledge: A proximity approach, Quantitative Science Studies, № 1 (3), p. 1007—1016. EDN: MJFVVC, https://doi.org/10.1162/qss_a_00058
Prytkov, G. V., Tsvetus, N. Y., Balyakin, A. A., Malyshev, A. S., Taranenko, S. B. 2017, Scientific cooperation between Russia and the eu in the development and use of large research infrastructure, European Research Studies Journal, vol. 10, № 3, p. 338—353. EDN: XNRFEQ, https://doi.org/10.35808/ersj/713
Клемешев, А. П., Корнеевец, В. С., Пальмовский, Т., Студжиницки, Т., Федоров, Г. М. 2017, Подходы к определению понятия «Балтийский регион», Балтийский регион, т. 9, № 4, с. 7—28. EDN: YLTZAY, https://doi.org/10.5922/2074-9848-2017-4-1
Murashova, E., Loginova, V. 2017, University-Industry Interaction Trends in the Baltic Sea Region: A Bibliometric Analysis, Baltic Journal of European Studies, vol. 7, № 2, p. 28—29. EDN: XNQMER, https://doi.org/10.1515/bjes-2017-0009
Mikhaylov, A. S., Gorochnaya, V. V. 2021, Divergence of coastal cities in the Baltic region by knowledge production capabilities, European Journal of Geography, vol. 12, № 1, p. 6—18. EDN: XHBFMZ, https://doi.org/10.48088/ejg.a.mik.12.1.006.018
Kirch, A., Mezentsev, V. 2012, Migration of ‘Knowledge Workers’ in the Baltic Sea Macro-Region Countries, Baltic Journal of European Studies, vol. 2, № 2, p. 109—123, https://doi.org/10.11590/bjes.2012.2.06
Gromov, G., Ovezmyradov, B. 2024, Differences in Research Performance Between Central Asian and Baltic States, in: Kabashkin, I., Yatskiv, I., Prentkovskis, O. (eds.), Reliability and Statistics in Transportation and Communication, RelStat 2023, Lecture Notes in Networks and Systems, vol. 913, Springer, Cham, https://doi.org/10.1007/978-3-031-53598-7_47
Наумов, А. О., Положевич, Р. С. 2018, «Мягкая сила» Индии как суверенного государства: история и современность (часть II), Государственное управление. Электронный вестник, № 70, с. 291—328. EDN: VKJXWY, https://doi.org/10.24411/2070-1381-2018-00095
Андреев, С. Д. 2023, Предпосылки возникновения и эволюция концепции «смотреть на восток» в контексте внешней политики индии (1990—2010-е гг.), Современная научная мысль, № 1, с. 172—178. EDN: AWOHCZ, https://doi.org/10.24412/2308-264X-2023-1-172-178
Елецкий, А. Н. 2017, Специфика инновационного развития Индии как одного из новых глобальных геоэкономических лидеров мировой экономики, Креативная экономика, т. 11, № (8), с. 863—874. EDN: ZJUBZJ, https://doi.org/10.18334/ce.11.8.38203
Шкунов, В. Н. 2011, Конституционно-правовое регулирование образовательных отношений в странах Южной Азии, Право и образование, № 3, с. 4—9.
Bernard, A. B., Moxnes, A., Saito, Y. U. 2022, The Geography of Knowledge Production: Connecting Islands and Ideas, Dartmouth College.
Ерохина, Т. И. 2021, Советский дискурс индийского кинематографа: культурные коды и стереотипы, Вестник Московского государственного лингвистического университета. Гуманитарные науки, № 13 (855), с. 331—347. EDN: VJFKZB, https://doi.org/10.52070/2542-2197_2021_13_855_331
